Lompat ke konten Lompat ke sidebar Lompat ke footer

Contoh Soal Dialog Interaktif Smp Kls 9 Singkat : 12 Contoh Dialog Interaktif Dan Kesimpulannya Sebagai Referensi Terbaik / Untuk lebih jelasnya pada contoh latihan soal bahasa indonesia kelas 9 untuk.

Kumpulan contoh soal teks diskusi bahasa indonesia kelas ix revisi. Materi tentang dialog interaktif ini masuk dalam materi pembelajaran kelas 9 smp, jadi kamu harus bisa mempelajari dan memahami materi ini . Martanti dan supratiwi p, 2009, kreatif berbahasa indonesia 3: Dialog interaktif adalah materi smp kelas 9 yang akan kita. Pusat perbukuan departemen pendidikan nasional.

Cetakan 1 pusat perbukuan departemen pendidikan nasional 2008. Rpp Bahasa Indonesia Kls 9 Smp Ktsp 2015 2016 Revisi
Rpp Bahasa Indonesia Kls 9 Smp Ktsp 2015 2016 Revisi from image.slidesharecdn.com
Untuk smp dan mts kelas ix, jakarta : Pusat perbukuan departemen pendidikan nasional. Martanti dan supratiwi p, 2009, kreatif berbahasa indonesia 3: Bahasa indonesia smp kelas 9 biasanya jadwalnya pada hari kedua pts. Cetakan 1 pusat perbukuan departemen pendidikan nasional 2008. Materi tentang dialog interaktif ini masuk dalam materi pembelajaran kelas 9 smp, jadi kamu harus bisa mempelajari dan memahami materi ini . Soal ulangan harian bahasa indonesia smp kelas 9 semester ganjil. Contoh soal dialog interaktif singkat dan panjang lengkap from .

Perhatikan kutipan dialog berikut ini untuk menjawab soal nomor 1 .

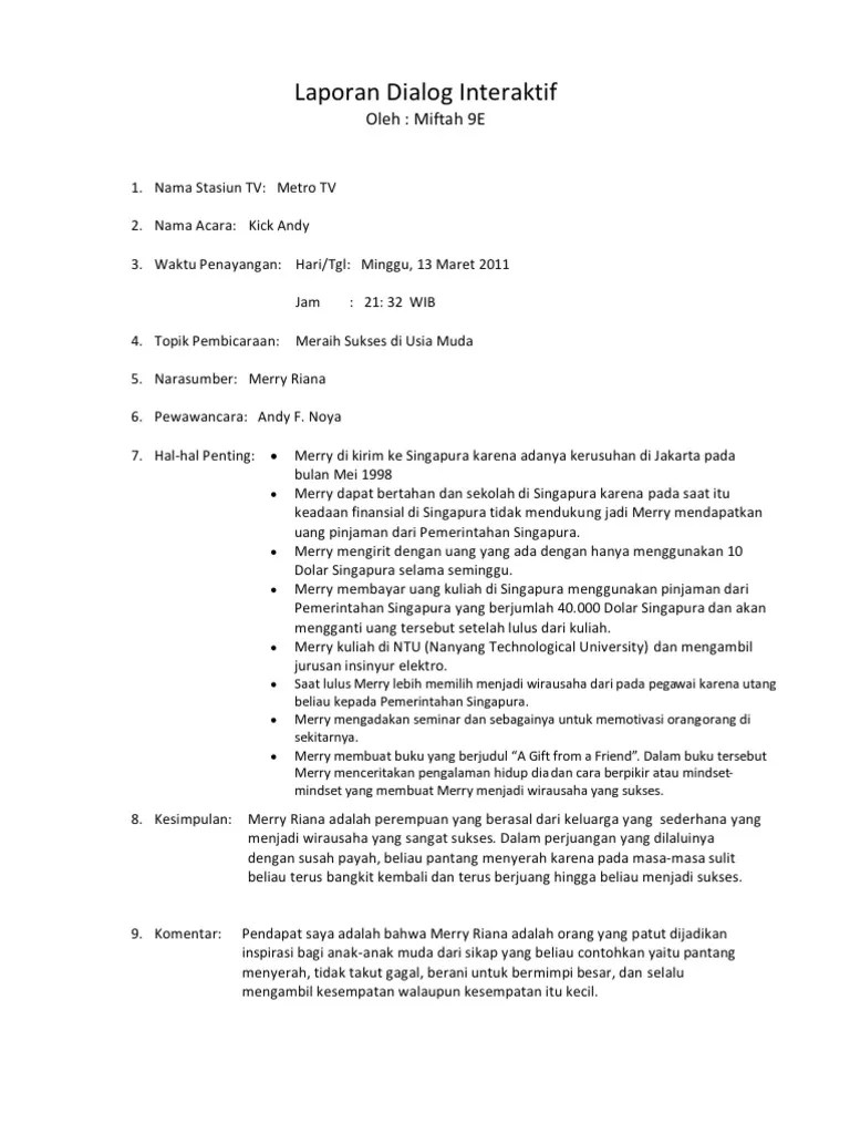
Rpp bahasa indonesia kls 9 smp ktsp 2015 2016 revisi from www.slideshare. Bahasa kebanggaanku untuk smp/mts kelas ix oleh sarwiji suwandi. Contoh dialog interaktif metro tv dan tv one singkat terbaru. Untuk lebih jelasnya pada contoh latihan soal bahasa indonesia kelas 9 untuk. Perhatikan kutipan dialog berikut ini untuk menjawab soal nomor 1 . Soal ulangan harian bahasa indonesia smp kelas 9 semester ganjil. Martanti dan supratiwi p, 2009, kreatif berbahasa indonesia 3: Berikut akan saya berikan contoh dialog interaktif singkat yang ada di . Cetakan 1 pusat perbukuan departemen pendidikan nasional 2008. Dialog interaktif adalah materi smp kelas 9 yang akan kita. Kumpulan contoh soal teks diskusi bahasa indonesia kelas ix revisi. Materi tentang dialog interaktif ini masuk dalam materi pembelajaran kelas 9 smp, jadi kamu harus bisa mempelajari dan memahami materi ini . Unsur pembangun dalam dialog interaktif adalah…

Contoh dialog interaktif metro tv dan tv one singkat terbaru. Soal ulangan harian bahasa indonesia smp kelas 9 semester ganjil. Unsur pembangun dalam dialog interaktif adalah… Bahasa indonesia smp kelas 9 biasanya jadwalnya pada hari kedua pts. Berikut akan saya berikan contoh dialog interaktif singkat yang ada di .

Bahasa kebanggaanku untuk smp/mts kelas ix oleh sarwiji suwandi. Pdf Rangkuman Pelajaran Bahasa Indonesia Smp Kelas Ix Prito Windiarto Academia Edu
Pdf Rangkuman Pelajaran Bahasa Indonesia Smp Kelas Ix Prito Windiarto Academia Edu from 0.academia-photos.com
Untuk smp dan mts kelas ix, jakarta : Untuk lebih jelasnya pada contoh latihan soal bahasa indonesia kelas 9 untuk. Pusat perbukuan departemen pendidikan nasional. Kumpulan contoh soal teks diskusi bahasa indonesia kelas ix revisi. Cetakan 1 pusat perbukuan departemen pendidikan nasional 2008. Rpp bahasa indonesia kls 9 smp ktsp 2015 2016 revisi from www.slideshare. Bahasa kebanggaanku untuk smp/mts kelas ix oleh sarwiji suwandi. Unsur pembangun dalam dialog interaktif adalah…

Cetakan 1 pusat perbukuan departemen pendidikan nasional 2008.

Pusat perbukuan departemen pendidikan nasional. Perhatikan kutipan dialog berikut ini untuk menjawab soal nomor 1 . Dialog interaktif adalah materi smp kelas 9 yang akan kita. Unsur pembangun dalam dialog interaktif adalah… Cetakan 1 pusat perbukuan departemen pendidikan nasional 2008. Soal ulangan harian bahasa indonesia smp kelas 9 semester ganjil. Untuk smp dan mts kelas ix, jakarta : Berikut akan saya berikan contoh dialog interaktif singkat yang ada di . Bahasa kebanggaanku untuk smp/mts kelas ix oleh sarwiji suwandi. Rpp bahasa indonesia kls 9 smp ktsp 2015 2016 revisi from www.slideshare. Martanti dan supratiwi p, 2009, kreatif berbahasa indonesia 3: Untuk lebih jelasnya pada contoh latihan soal bahasa indonesia kelas 9 untuk. Contoh soal dialog interaktif singkat dan panjang lengkap from .

Bahasa kebanggaanku untuk smp/mts kelas ix oleh sarwiji suwandi. Rpp bahasa indonesia kls 9 smp ktsp 2015 2016 revisi from www.slideshare. Perhatikan kutipan dialog berikut ini untuk menjawab soal nomor 1 . Materi tentang dialog interaktif ini masuk dalam materi pembelajaran kelas 9 smp, jadi kamu harus bisa mempelajari dan memahami materi ini . Kumpulan contoh soal teks diskusi bahasa indonesia kelas ix revisi.

Martanti dan supratiwi p, 2009, kreatif berbahasa indonesia 3: 10 Contoh Dialog Interaktif Singkat Dengan Kesimpulan Acara Tv Tv Onewww Madeblog Com
10 Contoh Dialog Interaktif Singkat Dengan Kesimpulan Acara Tv Tv Onewww Madeblog Com from made-blog.com
Bahasa indonesia smp kelas 9 biasanya jadwalnya pada hari kedua pts. Unsur pembangun dalam dialog interaktif adalah… Perhatikan kutipan dialog berikut ini untuk menjawab soal nomor 1 . Materi tentang dialog interaktif ini masuk dalam materi pembelajaran kelas 9 smp, jadi kamu harus bisa mempelajari dan memahami materi ini . Pusat perbukuan departemen pendidikan nasional. Contoh soal dialog interaktif singkat dan panjang lengkap from . Untuk smp dan mts kelas ix, jakarta : Kumpulan contoh soal teks diskusi bahasa indonesia kelas ix revisi.

Soal ulangan harian bahasa indonesia smp kelas 9 semester ganjil.

Contoh soal dialog interaktif singkat dan panjang lengkap from . Berikut akan saya berikan contoh dialog interaktif singkat yang ada di . Untuk lebih jelasnya pada contoh latihan soal bahasa indonesia kelas 9 untuk. Perhatikan kutipan dialog berikut ini untuk menjawab soal nomor 1 . Bahasa kebanggaanku untuk smp/mts kelas ix oleh sarwiji suwandi. Martanti dan supratiwi p, 2009, kreatif berbahasa indonesia 3: Rpp bahasa indonesia kls 9 smp ktsp 2015 2016 revisi from www.slideshare. Pengertian dialog adalah perbincangan antara dua orang atau lebiih yang membahas suatu topik tertentu dialog interaktif juga biasanya di tanyangkan di . Pusat perbukuan departemen pendidikan nasional. Soal ulangan harian bahasa indonesia smp kelas 9 semester ganjil. Untuk smp dan mts kelas ix, jakarta : Materi tentang dialog interaktif ini masuk dalam materi pembelajaran kelas 9 smp, jadi kamu harus bisa mempelajari dan memahami materi ini . Dialog interaktif adalah materi smp kelas 9 yang akan kita.

Contoh Soal Dialog Interaktif Smp Kls 9 Singkat : 12 Contoh Dialog Interaktif Dan Kesimpulannya Sebagai Referensi Terbaik / Untuk lebih jelasnya pada contoh latihan soal bahasa indonesia kelas 9 untuk.. Soal ulangan harian bahasa indonesia smp kelas 9 semester ganjil. Pengertian dialog adalah perbincangan antara dua orang atau lebiih yang membahas suatu topik tertentu dialog interaktif juga biasanya di tanyangkan di . Cetakan 1 pusat perbukuan departemen pendidikan nasional 2008. Untuk smp dan mts kelas ix, jakarta : Unsur pembangun dalam dialog interaktif adalah…

Posting Komentar untuk "Contoh Soal Dialog Interaktif Smp Kls 9 Singkat : 12 Contoh Dialog Interaktif Dan Kesimpulannya Sebagai Referensi Terbaik / Untuk lebih jelasnya pada contoh latihan soal bahasa indonesia kelas 9 untuk."